|
ВЕРТИКАЛЬНЫЕ ПРЕДЕЛЬНЫЕ ПРОГИБЫ
ЭЛЕМЕНТОВ КОНСТРУКЦИЙ
10.7. Вертикальные предельные прогибы элементов конструкций и нагрузки, от которых следует определять прогибы, приведены в табл.19. Требования к зазорам между смежными элементами приведены в п.6 рекомендуемого приложения 6.
Таблица 19
|
Элементы конструкций
|
Предъявляемые требования
|
Вертикальные предельные прогибы 
|
Нагрузки для определения вертикальных прогибов
|
|
1. Балки крановых путей под мостовые и подвесные краны, управляемые:
|
|
|
|
|
с пола, в том числе тельферы (тали)
|
Технологические
|
/250
|
От одного крана
|
|
из кабины при группах режимов работы (по ГОСТ 25546-82):
|
Физиологические и
технологические
|
|
|
|
1К-6К
|
|
/400
|
То же
|
|
7К
|
|
/500
|
"
|
|
8К
|
|
/600
|
"
|
|
2. Балки, фермы, ригели, прогоны, плиты, настилы (включая поперечные ребра плит и настилов):
|
|
|
|
|
а) покрытий и перекрытий, открытых для обзора, при пролете , м:
|
Эстетико-психологические
|
|
Постоянные и временные длительные
|
|

|
|
/120
|
|
|

|
|
/150
|
|
|

|
|
/200
|
|
|

|
|
/250
|
|
|

|
|
/300
|
|
|
б) покрытий и перекрытий при наличии перегородок под ними
|
Конструктивные
|
Принимаются в соответствии с п.6 рекомендуемого приложения 6
|
Приводящие к уменьшению зазора между несущими элементами конструкций и перегородками, расположенными под элементами.
|
|
в) покрытий и перекрытий при наличии на них элементов, подверженных растрескиванию (стяжек, полов, перегородок)
|
"
|
/150
|
Действующие после
выполнения перегородок, полов, стяжек
|
|
г) покрытий и перекрытий при наличии тельферов (талей), подвесных кранов, управляемых:
|
|
|
|
|
с пола
|
Технологические
|
/300 или /150
(меньшее из двух)
|
Временные с учетом нагрузки от одного крана или тельфера (тали) на одном пути
|
|
из кабины
|
Физиологические
|
/400 или /200
(меньшее из двух)
|
От одного крана или тельфера (тали) на одном пути
|
|
д) перекрытий, подверженных действию:
|
Физиологические и
технологические
|
|
|
|
перемещаемых грузов, материалов, узлов и элементов оборудования и других подвижных нагрузок ( в том числе при безрельсовом напольном транспорте)
|
|
/350
|
0,7 полных нормативных значений временных нагрузок или нагрузки от одного погрузчика (более неблагоприятное из двух)
|
|
нагрузок от рельсового транспорта:
|
|
|
|
|
узкоколейного
|
|
/400
|
От одного состава вагонов (или одной напольной машины) на одном пути
|
|
ширококолейного
|
|
/500
|
То же
|
|
3. Элементы лестниц (марши, площадки, косоуры), балконов, лоджий
|
Эстетико-психологические
Физиологические
|
Те же, что в поз.2,а
Определяются в соответствии с п.10.10
|
|
4. Плиты перекрытий, лестничные марши и площадки, прогибу которых не препятствуют смежные элементы
|
"
|
0,7 мм
|
Сосредоточенная нагрузка 1 кН (100 кгс) в середине пролета
|
|
5. Перемычки и навесные стеновые панели над оконными и дверными проемами (ригели и прогоны остекления)
|
Конструктивные
|
/200
|
Приводящие к уменьшению зазора между несущими элементами и оконным или дверным заполнением, расположенным под элементами
|
|
|
Эстетико-психологические
|
Те же, что в поз.2,а
|
|
Обозначения, принятые в табл.19:
- расчетный пролет элемента конструкции;
- шаг балок или ферм, к которым крепятся подвесные крановые пути.
Примечания. 1. Для консоли вместо следует принимать удвоенный ее вылет.
2. Для промежуточных значений в поз.2, а предельные прогибы следует определять линейной интерполяцией, учитывая требования п.7 рекомендуемого приложения 6.
3. В поз. 2, а цифры, указанные в скобках, следует принимать при высоте помещений до 6 м включительно.
4. Особенности вычисления прогибов по поз.2,г указаны в п.8 рекомендуемого приложения 6.
5. При ограничении прогибов эстетико-психологическими требованиями допускается пролет принимать равным расстоянию между внутренними поверхностями несущих стен (или колонн).
|
10.8. Расстояние (зазор) от верхней точки тележки мостового крана до нижней точки прогнутых несущих конструкций покрытий (или предметов, прикрепленных к ним) должно быть не менее 100 мм.
10.9. Прогибы элементов покрытий должны быть такими, чтобы, несмотря на их наличие, был обеспечен уклон кровли не менее 1/200 в одном из направлений (кроме случаев, оговоренных в других нормативных документах).
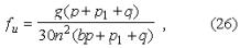
10.10. Предельные прогибы элементов перекрытый (балок, ригелей, плит), лестниц, балконов, лоджий, помещений жилых и общественных зданий, а также бытовых помещений производственных зданий исходя из физиологических требований следует определять по формуле

где - ускорение свободного падения;
p - нормативное значение нагрузки от людей, возбуждающих колебания, принимаемое по табл. 20;
- пониженное нормативное значение нагрузки на перекрытия, принимаемое по табл. 3 и 20;
q - нормативное значение нагрузки от веса рассчитываемого элемента и опирающихся на него конструкций;
n - частота приложения нагрузки при ходьбе человека, принимаемая по табл. 20;
b - коэффициент, принимаемый по табл. 20.
Таблица 20
|
Помещения, принимаемые по табл. 3
|
p, кПа (кгс/ )
|

кПа (кгс/ )
|
n, Гц
|
b
|
|
Поз.1, 2, кроме классных и бытовых;
поз. 3, 4, а, 9,б, 10,б
|
0,25(25)
|
Принимается по табл. 3
|
1,5
|

|
|
Поз. 2 - классные и бытовые;
поз. 4, б-г, кроме танцевальных;
поз. 9,а, 10,а, 12, 13
|
0,5(50)
|
То же
|
1,5
|

|
|
Поз. 4 - танцевальные;
поз. 6, 7
|
1,5 (150)
|
0,2(20)
|
2,0
|
50
|
|
Обозначения, принятые в табл.20
- вес одного человека, принимаемый равным 0,8 кН (80 кгс);
- коэффициент, принимаемый равным 1,0 для элементов, рассчитываемых по балочной схеме, 0,5 - в остальных случаях (например, при опирании плит по трем или четырем сторонам);
- шаг балок, ригелей, ширина плит (настилов), м;
- расчетный пролет элемента конструкции, м.
|
Прогибы следует определять от суммы нагрузок где - коэффициент, определяемый по формуле (1).
ГОРИЗОНТАЛЬНЫЕ ПРЕДЕЛЬНЫЕ ПРОГИБЫ КОЛОНН
И ТОРМОЗНЫХ КОНСТРУКЦИЙ ОТ КРАНОВЫХ НАГРУЗОК
10.11. Горизонтальные предельные прогибы колонн зданий, оборудованных мостовыми кранами, крановых эстакад, а также балок крановых путей и тормозных конструкций (балок или ферм), следует принимать по табл. 21, но не менее 6 мм.
Прогибы следует проверять на отметке головки крановых рельсов от сил торможения тележки одного крана, направленных поперек кранового пути, без учета крена фундаментов.
Таблица 21
|
Группы режимов работы кранов
|
Предельные прогибы

|
|
|
колонн
|
|
|
|
зданий и крытых крановых эстакад
|
открытых крановых эстакад
|
балок крановых путей и тормозных конструкций, зданий и крановых эстакад (крытых и открытых)
|
|
1К - 3К
|
h/500
|
h/1500
|
/500
|
|
4К - 6К
|
h/1000
|
h/2000
|
/1000
|
|
7К - 8К
|
h/2000
|
h/2500
|
/2000
|
|
Обозначения принятые в табл. 21:
h - высота от верха фундамента до головки кранового рельса (для одноэтажных зданий и крытых и открытых крановых эстакад) или расстояние от оси ригеля перекрытия до головки кранового рельса (для верхних этажей многоэтажных зданий);
- расчетный пролет элемента конструкции (балки).
|
10.12. Горизонтальные предельные сближения крановых путей открытых эстакад от горизонтальных и внецентренно приложенных вертикальных нагрузок от одного крана (без учета крена фундаментов), ограничиваемые исходя из технологических требований, следует принимать равными 20 мм.
ГОРИЗОНТАЛЬНЫЕ ПРЕДЕЛЬНЫЕ ПЕРЕМЕЩЕНИЯ
И ПРОГИБЫ КАРКАСНЫХ ЗДАНИЙ, ОТДЕЛЬНЫХ
ЭЛЕМЕНТОВ КОНСТРУКЦИЙ И ОПОР КОНВЕЙЕРНЫХ
ГАЛЕРЕЙ ОТ ВЕТРОВОЙ НАГРУЗКИ, КРЕНА ФУНДАМЕНТОВ
И ТЕМПЕРАТУРНЫХ КЛИМАТИЧЕСКИХ ВОЗДЕЙСТВИЙ
10.13. Горизонтальные предельные перемещения каркасных зданий, ограничиваемые исходя из конструктивных требований (обеспечение целостности заполнения каркаса стенами, перегородками, оконными и дверными элементами), приведены в табл. 22. Указания по определению перемещений приведены в п. 9 рекомендуемого приложения 6.
10.14. Горизонтальные перемещения каркасных зданий следует определять, как правило, с учетом крена (поворота) фундаментов. При этом нагрузки от веса оборудования, мебели, людей, складируемых материалов и изделий следует учитывать только при сплошном равномерном загружении всех перекрытий многоэтажных зданий этими нагрузками (с учетом их снижения в зависимости от числа этажей), за исключением случаев, при которых по условиям нормальной эксплуатации предусматривается иное загружение.
Крен фундаментов следует определять с учетом ветровой нагрузки, принимаемой в размере 30% нормативного значения.
Для зданий высотой до 40 м (и опор конвейерных галерей любой высоты), расположенных в ветровых районах I-IV, крен фундаментов, вызываемый ветровой нагрузкой, допускается не учитывать.
Таблица 22
|
Здания, стены и перегородки
|
Крепление стен и перегородок к каркасу здания
|
Предельные перемещения

|
|
1. Многоэтажные здания
|
Любое
|

|
|
2. Один этаж многоэтажных зданий:
|
Податливое
|

|
|
а) стены и перегородки из кирпича, гипсобетона,
железобетонных панелей
|
Жесткое
|

|
|
б) стены, облицованные естественным камнем, из керамических блоков, из стекла (витражи)
|
"
|

|
|
3. Одноэтажные здания (с самонесущими стенами) высотой этажа 
|
Податливое
|
|
|

|
|

|
|

|
|

|
|

|
|

|
|
Обозначения, принятые в табл.22:
h -высота многоэтажных зданий, равная расстоянию от верха фундамента до оси ригеля покрытия;
- высота этажа в одноэтажных зданиях, равная расстоянию от верха фундамента до низа стропильных конструкций; в многоэтажных зданиях: для нижнего этажа - равная расстоянию от верха фундамента до оси ригеля перекрытия; для остальных этажей - равная расстоянию между осями смежных ригелей.
Примечания: 1. Для промежутоных значений (по поз.3) горизонтальные предельные перемещения следует определять линейной интерполяцией.
2. Для верхних этажей многоэтажных зданий, проектируемых с использованием элементов покрытий одноэтажных зданий, горизонтальные предельные перемещения следует принимать такими же, как для одноэтажных зданий. При этом высота верхнего этажа принимается от оси ригеля междуэтажного перекрытия до низа стропильных конструкций.
3. К податливым креплениям относятся крепления стен или перегородок к каркасу, не препятствующие смещению каркаса (без передачи на стены или перегородки усилий, способных вызвать повреждения конструктивных элементов); к жестким - крепления, препятствующие взаимным смещениям каркаса, стен или перегородок.
4. Для одноэтажных зданий с навесными стенами (а также при отсутствии жесткого диска покрытия) и многоэтажных этажерок предельные перемещения допускается увеличивать на 30% (но принимать не более ).
|
10.15. Горизонтальные перемещения бескаркасных зданий от ветровых нагрузок не ограничиваются, если их стены, перегородки и соединяющие элементы рассчитаны на прочность и трещиностойкость.
10.16. Горизонтальные предельные прогибы стоек и ригелей фахверка, а также навесных стеновых панелей от ветровой нагрузки, ограничиваемые исходя из конструктивных требований, следует принимать равными /200, где - расчетный пролет стоек или панелей.
10.17. Горизонтальные предельные прогибы опор конвейерных галерей от ветровых нагрузок, ограничиваемые исходя из технологических требований, следует принимать равными h/250, где h - высота опор от верха фундамента до низа ферм или балок.
10.18. Горизонтальные предельные прогибы колонн (стоек) каркасных зданий от температурных климатических и усадочных воздействий следует принимать равными:
- при стенах и перегородках из кирпича, гипсобетона, железобетона и навесных панелей;
- при стенах, облицованных естественным камнем, из керамических блоков, из стекла (витражи), где - высота этажа, а для одноэтажных зданий с мостовыми кранами - высота от верха фундамента до низа балок кранового пути.
При этом температурные воздействия следует принимать без учета суточных колебаний температур наружного воздуха и перепада температур от солнечной радиации.
При определении горизонтальных прогибов от температурных климатических и усадочных воздействий их значения не следует суммировать с прогибами от ветровых нагрузок и от крена фундаментов.
ПРЕДЕЛЬНЫЕ ВЫГИБЫ ЭЛЕМЕНТОВ МЕЖДУЭТАЖНЫХ
ПЕРЕКРЫТИЙ ОТ УСИЛИЙ ПРЕДВАРИТЕЛЬНОГО ОБЖАТИЯ
10.19. Предельные выгибы элементов междуэтажных перекрытий, ограничиваемые исходя из конструктивных требований, следует принимать равными 15 мм при и 40 мм - при (для промежуточных значений предельные выгибы следует определять линейной интерполяцией).
Выгибы f следует определять от усилий предварительного обжатия, собственного веса элементов перекрытий и веса пола.
Приложение 1
Справочное
МОСТОВЫЕ И ПОДВЕСНЫЕ КРАНЫ
РАЗНЫХ ГРУПП РЕЖИМОВ РАБОТЫ
(ПРИМЕРНЫЙ ПЕРЕЧЕНЬ)
|
Краны
|
Группы режимов работы
|
Условия использования
|
|
Ручные всех видов
|
1К-ЗК
|
Любые
|
|
С приводными подвесными талями, в том числе с навесными захватами
|
|
Ремонтные и перегрузочные работы ограниченной интенсивности
|
|
С лебедочными грузовыми тележками, в том числе с навесными захватами
|
|
Машинные залы электростанций, монтажные работы, перегрузочные работы ограниченной интенсивности
|
|
С лебедочными грузовыми тележками, в том числе с навесными захватами.
|
4К-6К
|
Перегрузочные работы средней интенсивности, технологические работы в механических цехах, склады готовых изделий предприятий строительных материалов, склады металлосбыта
|
|
С грейферами двухканатного типа, магнитно-грейферные
|
|
Смешанные склады, работа с разнообразными грузами
|
|
Магнитные
|
|
Cклады полуфабрикатов, работа с разнообразными грузами
|
|
Закалочные, ковочные, штыревые, литейные
|
7К
|
Цехи металлургических предприятий
|
|
С грейферами двухканатного типа, магнитно-грейферные
|
|
Склады насыпных грузов и металлолома с однородными грузами (при работе в одну или две смены)
|
|
С лебедочными грузовыми тележками, в том числе с навесными захватами
|
|
Технологические краны при круглосуточной работе
|
|
Траверсные, мульдогрейферные, мульдозавалочные, для раздевания слитков, копровые, ваграночные, колодцевые
|
8К
|
Цехи металлургических предприятий
|
|
Магнитные
|
|
Цехи и склады металлургических предприятий, крупные металлобазы с однородными грузами
|
|
С грейферами двухканатного типа, магнитно-грейферные
|
|
Склады насыпных грузов и металлолома с однородными грузами (при круглосуточной работе)
|
ПРИЛОЖЕНИЕ 2
Обязательное
НАГРУЗКА ОТ УДАРА КРАНА О ТУПИКОВЫЙ УПОР
Нормативное значение горизонтальной нагрузки F, кН, направленной вдоль кранового пути и вызываемой ударом крана о тупиковый упор, следует определять по формуле
,
где - скорость передвижения крана в момент удара, принимаемая равной половине номинальной, м/с;
- возможная наибольшая осадка буфера, принимаемая равной 0,1 м для кранов с гибким подвесом груза грузоподъемностью не более 50 т групп режимов работы 1К-7К и 0,2 м - в остальных случаях;
- приведенная масса крана, определяемая по формуле

здесь - масса моста крана, т;
- масса тележки, т;
- грузоподъемность крана, т;
k - коэффициент;
k = 0 - для кранов с гибким подвесом;
k = 1 - для кранов с жестким подвесом груза;
- пролет крана, м;
- приближение тележки, м.
Расчетное значение рассматриваемой нагрузки с учетом коэффициента надежности по нагрузке (см. п. 4.8) принимается не более предельных значений, указанных в следующей таблице:
Продолжение прил. 2
|
Краны
|
Предельные значения нагрузок F, кН(тс)
|
|
Подвесные (ручные и электрические)
|
10(1)
|
|
и мостовые ручные
|
|
|
Электрические мостовые:
|
|
|
общего назначения групп режимов
|
50(5)
|
|
работы 1К-ЗК
|
|
|
общего назначения и специальные
|
150 (15)
|
|
групп режимов работы
|
|
|
4К-7К, а также литейные
|
|
|
специальные группы режима
|
|
|
работы 8К с подвесом груза:
|
|
|
гибким
|
250 (25)
|
|
жестким
|
500 (50)
|
ПРИЛОЖЕНИЕ 3*
Обязательное
СХЕМЫ СНЕГОВЫХ НАГРУЗОК И КОЭФФИЦИЕНТЫ
|
Номер
схемы
|
Профили покрытий и схемы
снеговых нагрузок
|
Коэффициент
и область применения схем
|
|
1
|
Здания с односкатными и двускатными покрытиями

|


Варианты 2 и 3 следует учитывать для зданий с двускатными покрытиями (профиль б), при этом вариант 2 - при вариант 3 - при только при наличии ходовых мостиков или аэрационных устройств по коньку покрытия
|
|
|

|
|
|
2
|
Здания со сводчатыми и близкими к ним по очертанию покрытиями

|
где - уклон покрытия, град
|
|
|
|
|
|
2’
|
Покрытия в виде стрельчатых арок

|
При необходимо использовать схему 1, б, принимая ; при - схему 2
|
|
|
|
|
|
3
|
Здания с продольными фонарями, закрытыми сверху
|

|
|
|

|
но не более:
4,0 - для ферм и балок при нормативном значении веса покрытия 1,5 кПа и менее;
2,5 - для ферм и балок при нормативном значении веса покрытия свыше 1,5 кПа;
2,0 - для железобетонных плит покрытий пролетом 6 м и менее и для стального профилированного настила;
2,5 - для железобетонных плит пролетом свыше 6 м , а также для прогонов независимо от пролета;
но не более b.
При определении нагрузки у торца фонаря для зоны B значение коэффициента в обоих вариантах следует принимать равным 1,0.
|
|
|

|
Примечания: 1. Схемы вариантов 1, 2 следует также применять для двускатных и сводчатых покрытий двух-трехпролетных зданий с фонарями в середине зданий.
2. Влияние ветроотбойных щитов на распределение снеговой нагрузки возле фонарей не учитывать.
3. Для плоских скатов при b>48 м следует учитывать местную повышенную нагрузку у фонаря, как у перепадов (см.схему 8)
|
|
3’
|
Здания с продольными фонарями, открытыми сверху
|

|
|
|

|
Значения и m следует определять в соответствии с указаниями к схеме 8; пролет 
принимается равным расстоянию между верхними кромками фонарей
|
|
4
|
Шедовые покрытия
|
|
|
|

|
Схемы следует применять для шедовых покрытий, в том числе с наклонным остеклением и сводчатым очертанием кровли
|
|
5
|
Двух- и многопролетные здания с двускатными покрытиями
|
Вариант 2 следует учитывать при 15°
|
|
|

|
|
|
6
|
Двух- и многопролетные здания со сводчатыми и близкими к ним по очертанию покрытиями
|
Вариант 2 следует учитывать при 
|
|
|

|
Для железобетонных плит покрытий значения коэффициентов следует принимать не более 1,4
|
|
7
|
Двух- и многопролетные здания с двускатными и сводчатыми покрытиями с продольным фонарем
|
|
|
|

|
Коэффициент следует принимать для пролетов с фонарем в соответствии с вариантами 1 и 2 схемы 3, для пролетов без фонаря - с вариантами 1 и 2 схем 5 и 6.
Для плоских двускатных ( 15°) и сводчатых ( ) покрытий при > 48 м следует учитывать местную повышенную нагрузку, как у перепадов (см. схему 8)
|
|
8.
|
Здания с перепадом высоты
|
|
|
|

|
Снеговую нагрузку на верхнее покрытие следует принимать в соответствии со схемами 1- 7, а на нижнее - в двух вариантах: по схемам 1 - 7 и схеме 8 (для зданий - профиль "а", для навесов - профиль "б").
|
|
|

|
Коэффициент следует принимать равным:

где h - высота перепада, м, отсчитываемая от карниза верхнего покрытия до кровли нижнего и при значении более 8 м принимаемая при определении равной 8 м;
длины участков верхнего и нижнего покрытия, с которых переносится снег в зону перепада высот, м; их следует принимать:
для покрытия без продольных фонарей или с поперечными фонарями - 
для покрытия с продольными фонарями -

(при этом следует принимать не менее 0).
доли снега, переносимого ветром к перепаду высот; их значения для верхнего ( ) и нижнего ( ) покрытий следует принимать в зависимости от их профиля: 0,4 - для плоского покрытия с , сводчатого с 0,3 - для плоского покрытия с сводчатого с и покрытий с поперечными фонарями.
Для пониженных покрытий шириной a < 21 м значение следует принимать:
но не менее 0,1, где
(при обратном уклоне, показанном на чертеже пунктиром,
);
, но не менее 0,3 ( a - в м; - в град).
Длину зоны повышенных снегоотложений b следует принимать равной:
при ,но не более 16 м;
при , но не более 5h и не более 16 м.
Коэффициенты , принимаемые для расчетов (показанные на схемах для двух вариантов), не должны превышать:
(где h - в м; - в кПа);
4 - если нижнее покрытие является покрытием здания;
6 - если нижнее покрытие является навесом.
Коэффициент следует принимать:

Примечания: 1. При значение
для участка перепада длиной следует определять без учета влияния фонарей на повышенном (пониженном) покрытии.
2. Если пролеты верхнего (нижнего) покрытия имеют разный профиль, то при определении необходимо принимать соответствующее значение для каждого пролета в пределах 
3. Местную нагрузку у перепада не следует учитывать, если высота перепада, м, между двумя смежными покрытиями менее (где - в кПа).
|
|
9.
|
Здания с двумя перепадами высоты

|
Снеговую нагрузку на верхние и нижние покрытия следует принимать по схеме 8. Значения следует определять для каждого перепада независимо, принимая: в схеме 9 (при определении нагрузок возле перепадов ) соответствующими в схеме 8 и (доля снега, переносимого ветром по пониженному покрытию) соответствующим в схеме 8. При этом:
|
|
|
|



|
|
10
|
Покрытие с парапетами

|
Схему следует применять при

но не более 3.
|
|
11
|
Участки покрытий, примыкающие к возвышающимся над кровлей вентиляционным шахтам и другим надстройкам
|
Схема относится к участкам с надстройками с диагональю основания не более 15 м.
В зависимости от рассчитываемой конструкции (плит покрытия, подстропильных и стропильных конструкций) необходимо учитывать самое неблагоприятное положение зоны повышенной нагрузки (при произвольном угле ).
|
|
|

|
Коэффициент , постоянный в пределах указанной зоны, следует принимать равным:
1,0 при 
но не менее 1,0 и не более:
1,5 при 
2,0 при 
2,5 при 
но не более 2d
|
|
12.
|
Висячие покрытия цилиндрической формы
|
|
|
|

|

|
|