ГОСТ Р ИСО/ТО 10014-2005 Руководство по управлению экономикой качества
ФЕДЕРАЛЬНОЕ АГЕНТСТВО ПО ТЕХНИЧЕСКОМУ РЕГУЛИРОВАНИЮ И МЕТРОЛОГИИ
|
|
НАЦИОНАЛЬНЫЙ СТАНДАРТ РОССИЙСКОЙ ФЕДЕРАЦИИ |
ГОСТ Р ИСО/ТО 10014-2005 |
РУКОВОДСТВО ПО УПРАВЛЕНИЮ ЭКОНОМИКОЙ КАЧЕСТВА
ISO/TR 10014:1998
Guidelines for managing the economics of quality (IDT)
![]()
Москва
Стаидартинформ 2005
Предисловие
Цели и принципы стандартизации в Российской Федерации установлены Федеральным законом от 27 декабря 2002 г. № 184-ФЗ «О техническом регулировании», а правила применения национальных стандартов Российской Федерации - ГОСТ Р 1.0-2004 «Стандартизация в Российской Федерации. Основные положения»
Сведения о стандарте
1. ПОДГОТОВЛЕН Научно-исследовательским центром контроля и диагностики технических систем на основе собственного аутентичного перевода стандарта, указанного в пункте 4
2. ВНЕСЕН Управлением технического регулирования и стандартизации Федерального агентства по техническому регулированию и метрологии
3. УТВЕРЖДЕН И ВВЕДЕН В ДЕЙСТВИЕ Приказом Федерального агентства по техническому регулированию и метрологии от 12 июля 2005 г. № 190-ст
4. Настоящий стандарт идентичен международному стандарту ИСО/ТО 10014:1998 «Руководящие указания по управлению экономикой качества» (ISO/TR 10014:1998 «Guidelines for managing the economics of quality»).
Наименование настоящего стандарта изменено относительно наименования указанного международного стандарта для приведения в соответствие с ГОСТ Р 1.5-2004 (подраздел 3.5).
При применении настоящего стандарта рекомендуется использовать вместо ссылочного международного стандарта соответствующий ему национальный стандарт, сведения о котором приведены в дополнительном приложении А
5. ВВЕДЕН ВПЕРВЫЕ
Информация об изменениях к настоящему стандарту публикуется в ежегодно издаваемом информационном указателе «Национальные стандарты», а текст изменений и поправок - в ежемесячно издаваемых информационных указателях «Национальные стандарты». В случае пересмотра (замены) или отмены настоящего стандарта соответствующее уведомление будет опубликовано в ежемесячно издаваемом информационном указателе «Национальные стандарты». Соответствующая информация, уведомление и тексты размещаются также в информационной системе общего пользования - на официальном сайте национального органа Российской Федерации по стандартизации в сети Интернет
Введение
Настоящий стандарт содержит концепции и методологию управления экономикой качества, позволяющие предприятиям повысить удовлетворенность потребителей и сократить затраты. Он также помогает предприятиям определить, какие из методов классификации затрат и анализа удовлетворенности потребителей лучше всего отвечают их потребностям.
Управление качеством влияет на экономическую эффективность работы предприятия как краткосрочно, так и долгосрочно. Предприятию не следует рассматривать такое влияние только в отношении сокращения затрат за короткий срок. Некоторые краткосрочные улучшения могут иметь отрицательные долгосрочные последствия, способствовать формированию отрицательного мнения о продукции предприятия или доверия пользователя.
Содержание
|
5 Управление экономикой качества 6 Идентификация/анализ процессов Приложение А (справочное) Сведения о соответствии национальных стандартов Российской Федерации ссылочному международному стандарту
|
НАЦИОНАЛЬНЫЙ СТАНДАРТ РОССИЙСКОЙ ФЕДЕРАЦИИ
|
РУКОВОДСТВО ПО УПРАВЛЕНИЮ ЭКОНОМИКОЙ КАЧЕСТВА Guidelines for managing the economics of quality |
Дата введения - 2006-03-01
1 Область применения
Настоящий стандарт содержит руководящие указания по управлению экономикой качества для получения экономической прибыли.
Его следует широко применять всем предприятиям и на всех уровнях внутри предприятия. Он не предназначен для использования в договорных ситуациях или в качестве объекта аудитов третьей стороны.
2 Нормативные ссылки
В настоящем стандарте использована ссылка на следующий стандарт: ИСО 9001-2000 Системы менеджмента качества. Требования
3 Термины и определения
В настоящем стандарте используются следующие термины с соответствующими определениями.
3.1 стоимость соответствия (cost of conformity): Затраты на выполнение всех установленных и предполагаемых потребностей потребителей при безотказности существующего процесса.
3.2 стоимость несоответствия (cost of nonconformity): Затраты, обусловленные отказом существующего процесса.
4 Главная цель организации
Руководству предприятия следует определить и документировать свою главную цель, а также политику и задачи в области качества. После этого для увеличения экономического результата планируют деятельность, обеспечивающую увеличение добавленной стоимости и сокращение затрат.
ПРИМЕРЫ
1 Основной целью пожарной охраны является защита общества от ущерба, вызванного пожаром.
2 Основной целью предприятия розничной торговли может быть получение прибылей.
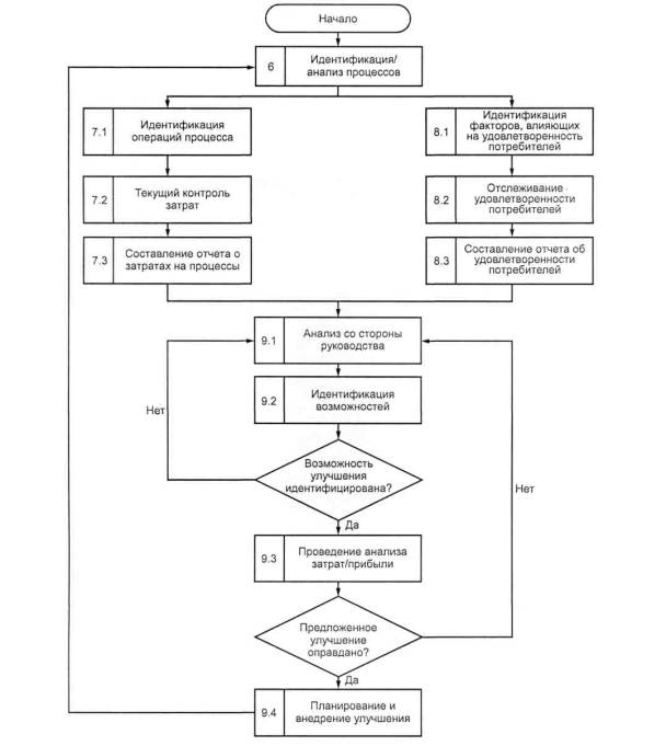
5 Управление экономикой качества
Для достижения своей основной цели предприятие должно непрерывно повышать эффективность работы путем использования методологии управления экономикой качества, представленной на рисунке 1.

Рисунок 1 - Методология управления экономикой качества
Примечание - Цифровые данные на рисунке 1 обозначают номера соответствующих разделов и подразделов.
Реализацию методологии начинают с идентификации или анализа процессов предприятия. Это обеспечивает возможность идентификации, текущего контроля и занесения в отчет операций и связанных с ними затрат. Это также дает предприятию возможность идентификации, текущего контроля и занесения в отчет данных по удовлетворенности потребителей. Два вышеуказанных отчета могут быть затем использованы при проведении анализа со стороны руководства для идентификации возможностей улучшения процессов и удовлетворенности потребителей.
Руководство должно провести анализ затрат/прибыли, чтобы определить, требуется ли какая-нибудь мера и оправдана ли предлагаемая мера по улучшению качества с учетом краткосрочной и долгосрочной прибыли.
Если эта мера санкционирована руководством, то предприятию следует запланировать и осуществить улучшение качества, а также проконтролировать результаты, чтобы обеспечить обратную связь.
Предприятию необходимо регулярно применять эту методологию с целью постоянного улучшения.
6 Идентификация/анализ процессов
Руководство должно распространять требования настоящего стандарта на предприятие в целом. В этом случае по отношению к предприятию потребителями будут заказчики и покупатели (внешние потребители). Руководство должно также применять данные требования к выбранным процессам. В этом случае потребителями могут быть как заказчики, так и подразделения предприятия (внешние и внутренние потребители).
Предприятие должно гарантировать, что процессы направлены на удовлетворение требований потребителей.
Процессы представляют собой совокупность взаимосвязанных ресурсов и видов деятельности, которые превращают входящие потоки в выходящие. Экономическую эффективность процесса следует измерять, используя показатели затрат и удовлетворенности потребителей.
Предприятие должно идентифицировать ключевые процессы, исходя из их воздействия на затраты и из удовлетворенности потребителей, и определять обязанности и ответственность тех, кто управляет этими процессами.
7 Анализ внутри предприятия
7.1 Идентификация операций процессов
Для определения затрат предприятие должно идентифицировать операции процесса. Для этого разрабатывают блок-схему, которая показывает операции процесса в их логической последовательности. Входы операций процессов (такие как материалы, оборудование и данные) следует идентифицировать. Выходы операций процессов также следует идентифицировать; каждый выход следует определять как идущий к одному или более потребителям.
Способы управления и ресурсы для всех процессов также следует идентифицировать.
7.2 Текущий контроль затрат
Предприятие должно идентифицировать и контролировать затраты, связанные с каждой операцией выбранных процессов. Затраты могут включать прямые и косвенные трудозатраты, затраты на материалы, оборудование, накладные расходы и др. Данные о затратах могут быть фактическими, выделенными или оцененными.
Данные о затратах могут быть выделены из существующей системы финансового контроля и дополнены оперативными данными. Данные, выделенные из других источников, могут быть определены количественно и использованы предприятием. Затраты, которые нельзя связать с отдельными элементами стоимости, необходимо оценивать. Если такие затраты значительны, их следует соответствующим образом зафиксировать. Необходимо выделять затраты, а не включать их в накладные расходы. Затраты не следует ограничивать только операциями, они должны охватывать всю деятельность предприятия.
В настоящее время существуют следующие модели классификации затрат:
- группировка затрат под рубрикой «Предотвращение, оценка и отказ»;
- группировка затрат под рубриками «Стоимость соответствия» и «Стоимость несоответствия»;
- группировка затрат по стадиям жизненного цикла продукции (модель жизненного цикла);
- идентификация и измерение в расчете стоимости дефектов, обусловленных плохо спланированной или плохо выполненной работой.
Выбор модели зависит от предприятия.
7.3 Составление отчета о затратах на процессы
Предприятие должно суммировать затраты и сравнивать их с подходящей базой измерения, такой как чистая сумма продаж, входные данные о затратах или живой труд. Это сравнение поможет связать экономику качества с количеством выполненной работы. Отчеты о затратах могут составляться предприятием или его подразделением на основе собственных потребностей. Подробность отчета определяет руководство, для которого предназначается отчет. Для высшего руководства может потребоваться сокращенный отчет, а для руководителя среднего звена - подробная информация о затратах. Для представления данных и направлений в системе можно использовать диаграммы и схемы.
8 Потребители
8.1 Идентификация факторов, влияющих на удовлетворенность потребителей
Удовлетворенность потребителей может изменяться от полной неудовлетворенности до восхищения. Определяющими являются три группы факторов: вызывающие неудовлетворенность, удовлетворенность и восхищение.
Удовлетворенность потребителей нельзя предсказать точно, но ее необходимо отслеживать для выявления возможностей улучшения. При планировании качества предприятия следует учитывать эти факторы.
Решающим фактором в экономике качества является лояльность потребителей. Потребители могут быть удовлетворены, но, однако, не делать повторной покупки. Постоянная экономическая прибыль достигается через удовлетворенность потребителей, подтверждаемую их лояльностью.
8.1.1 Факторы, вызывающие неудовлетворенность потребителя
К факторам, вызывающим неудовлетворенность, можно отнести неэффективные процессы или нежелательные свойства продукции. Когда они присутствуют, удовлетворенность потребителей значительно снижается. При отсутствии таких факторов удовлетворенность потребителей не улучшается; одна просто не ухудшается. Предприятие должно четко осознавать, какие факторы потребитель считает существенными.
ПРИМЕР - Дефектные изделия или услуги, проблемы доставки, проблемы получения услуги, недружелюбно настроенный персонал или равнодушие к жалобам или вопросам потребителей.
8.1.2 Факторы, вызывающие удовлетворенность потребителя
Факторы, вызывающие удовлетворенность, относятся к ожидаемым процессам или свойствам продукции. При наличии этих факторов увеличивается удовлетворенность потребителей.
ПРИМЕРЫ
1 При снижении цены на продукцию удовлетворенность потребителя возрастает.
2 Широкий диапазон сортов и моделей продукции, т.е. наличие выбора, является фактором, вызывающим удовлетворенность.
Факторы, вызывающие удовлетворенность, не обязательно компенсируют факторы, вызывающие неудовлетворенность.
ПРИМЕР - Потребитель забывает о низкой цене изделия или о быстроте его доставки, если полученное изделие является дефектным.
8.1.3 Факторы, вызывающие восхищение потребителя
К факторам, вызывающим восхищение, относятся процессы или свойства продукции, которые не ожидались и не оговаривались заранее, но были положительно оценены потребителем в процессе эксплуатации.
ПРИМЕРЫ
1 Если бы клиент, заказавший номер в гостинице, обнаружил при регистрации, что заказ потерян, комната грязная и кондиционер не работает, это вызвало бы недовольство.
2 Если гостиница предлагает более дешевый номер и бесплатную доставку в аэропорт, удовлетворенность увеличивается.
3 Если персонал гостиницы помнит имя клиента при его регистрации, телевидение имеет программы на родном языке клиента, а в номере клиент обнаруживает вазу с фруктами, то все эти факторы могут вызвать восхищение.
8.2 Отслеживание удовлетворенности потребителей
Так как потребности потребителей и предприятий постоянно меняются, предприятие должно непрерывно отслеживать удовлетворенность потребителей, чтобы облегчить проведение анализа тенденции изменений.
Предприятия предназначены для удовлетворения потребностей потребителей. Для того, чтобы сохранить лояльность потребителей, предприятие должно удовлетворять все их сформулированные и предполагаемые потребности.
Для того, чтобы определить реальную степень удовлетворенности потребителей, предприятию следует рассматривать различные методы сбора данных. Предприятие может идентифицировать удовлетворенность потребителей посредством количественного и качественного обследования. Для количественного обследования данные можно собирать с помощью интервью, в которых потребители должны заполнить анкеты, или путем изучения поведения потребителей. Для увеличения качества обследования предприятие может использовать анкеты с более подробными вопросами, чтобы получить представление о восприятии потребителей. Предприятию следует выбрать самые лучшие методы сбора данных в соответствии с характером изучения, сроками и наличными денежными средствами.
8.3 Составление отчета об удовлетворенности потребителей
Предприятие должно отслеживать удовлетворенность потребителей в форме, которую можно использовать для принятия решений. Отчет об удовлетворенности потребителей должен содержать результаты удовлетворенности потребителей, источники и методы, используемые для сбора информации, и оценку факторов, которые повлияли на удовлетворенность потребителей.
Данные сравнений с предыдущими результатами, тенденциями изменений, промышленными нормами или с конкурентной информацией, если таковые имеются, также должны быть включены в отчет. Изучение степени удовлетворенности потребителей в других отраслях может дать полезную информацию для сравнения с собственными результатами.
9 Управление улучшениями
9.1 Анализ со стороны руководства
Анализ отчетов о затратах и удовлетворенности потребителей проводят:
- через определенные интервалы;
- сравнивая их с планами и используя сравнимые данные;
- с учетом изменений в деловой среде.
9.2 Идентификация возможностей
Предприятие должно анализировать информацию, представленную в отчете о затратах и удовлетворенности потребителей, чтобы определить, имеются ли возможности для улучшения в следующих областях:
- коррекции несоответствий;
- предотвращения несоответствий;
- постоянного улучшения;
- совершенно новой продукции или процессов.
Цели и задачи реализации возможностей должны быть документированы, а действия по улучшению - выполнены. В долгосрочном плане должны быть учтены цели для улучшений в сфере затрат и необходимые ресурсы.
В краткосрочном плане улучшения следует перевести долгосрочный план в измеримые действия, ведущие к улучшению в сфере затрат. Схема улучшения экономики качества приведена на рисунке 2. Она может быть полезна при определении приоритетов для улучшения.
9.3 Проведение анализа затрат/прибыли
Предприятие должно рассмотреть экономические результаты всех возможных мер по улучшению качества. Прибыль сравнивают с предполагаемыми затратами, чтобы точно определить приоритеты. Матрица улучшений, приведенная в таблице 1, показывает примеры возможных экономических результатов, вызванных различными мерами по улучшению качества. Фактические результаты будут зависеть от особенностей предприятия.

Меры по улучшению качества, необходимые для получения выделенных значимых результатов
|
Возможные значительные результаты |
Уменьшение стоимости несоответствия |
|||||||
|
Сокращение количества дефектной продукции |
Разработка инновационных новых изделий |
Улучшение процессов |
Получение сертификации по ИСО 9001 |
Обучение персонала по обслуживанию потребителей |
Уменьшение загрязнения окружающей среды |
|||
|
Увеличение ценности в соответствии с главной целью организации |
Повышение удовлетворенности потребителей |
Увеличение факторов, вызывающих восхищение потребителей |
- |
´ |
- |
- |
´ |
´ |
|
Увеличение факторов, вызывающих удовлетворенность потребителей |
- |
´ |
- |
´ |
´ |
´ |
||
|
Уменьшение факторов, вызывающих неудовлетворенность потребителей |
´ |
- |
- |
- |
´ |
´ |
||
|
Уменьшение внешних и внутренних производственных расходов |
Уменьшение стоимости соответствия |
- |
- |
´ |
- |
- |
- |
|
|
Уменьшение стоимости несоответствия |
´ |
- |
´ |
´ |
´ |
´ |
||
|
Примечания 1 Знак «´» означает, что возможен значимый результат. 2 Фактические результаты будут зависеть от конкретных обстоятельств организации. |
||||||||
Если деятельность предприятия направлена на извлечение прибыли, возможно предсказать увеличение дохода вследствие лояльности потребителей, как результат мер по улучшению качества. Трудно предсказать сверхдоход от новых потребителей, как результат рекомендаций существующих удовлетворенных или довольных потребителей. Однако этот результат может иметь большое влияние на финансовые показатели предприятия.
Если деятельность предприятия не направлена на извлечение прибыли, рост удовлетворенности потребителя может принести или не принести непосредственную финансовую прибыль. Это зависит от механизмов финансирования предприятия. Потребители и другие заинтересованные стороны получат положительный результат, который трудно подсчитать в финансовом отношении.
ПРИМЕР - Школа, принимающая меры по улучшению качества, улучшит свою репутацию. В результате все больше и больше родителей захотят, чтобы их дети в ней учились. Если школьные фонды определяются из расчета на одного ребенка, то бюджет школы увеличится в результате предпринятых мер. Это позволяет выявить скрытые внутренние резервы школы. Если фонды были рассчитаны другим способом, школа может не получить прямой финансовой прибыли, даже если реальная прибыль для общества может быть большой, но не поддающейся подсчету.
Для проведения анализа затрат/прибыли рекомендуется выполнить следующее:
a) обеспечить четкое определение, планирование и стоимость предлагаемых мер по улучшению в соответствии с главной целью предприятия;
b) воздействовать на удовлетворенность потребителей путем увеличения факторов, вызывающих восхищение и удовлетворенность, и уменьшения факторов, вызывающих неудовлетворенность;
c) оценить увеличение доходов благодаря повторным заказам и новому бизнесу, как результат улучшения удовлетворенности потребителей;
d) идентифицировать менее значимые для потребителей и других заинтересованных сторон выгоды;
e) оценить изменение стоимости на соответствие и несоответствие, как внутренней, так и внешней;
f) провести детальный сравнительный анализ совокупных финансовых затрат предлагаемого мероприятия по улучшению качества;
g) сравнить совокупную прибыль с капитальными затратами на мероприятия по улучшению качества и решить, стоит ли их продолжать.
Предприятие может использовать разные методы (например, чистую текущую стоимость, срок окупаемости, внутреннюю норму прибыли) для принятия финансового решения о продолжении улучшения качества.
Необходимо учитывать также менее ощутимые выгоды. Некоторые экономические результаты могут быть трудны для подсчета, например увеличение продаж по образцам и повышение производительности труда благодаря повышению мотивации персонала, но они могут быть существенными. В процессе принятия решения необходимо рассматривать как ощутимые, так и неощутимые выгоды.
Решение о продолжении улучшения качества следует принимать на соответствующем уровне. Если потенциальные капитальные затраты низки, решение следует принимать гибким небюрократическим способом руководителям, близким к данному процессу. Если затраты существенны, может возникнуть необходимость в более официальном процессе принятия решения. Для обеспечения максимальной прибыли при минимальных капитальных затратах нужна предусмотрительность.
9.4 Планирование и внедрение улучшения
Предприятие должно планировать и внедрять меры по улучшению. Отчет о затратах на процесс улучшения и удовлетворенность потребителей следует использовать для того, чтобы убедиться в достижении предсказанных улучшений. Если этого не произошло, может потребоваться провести дополнительный анализ.
В соответствии с планом предприятию следует проанализировать результаты принятых мер по улучшению, чтобы удостовериться в их эффективности.
Сведения о соответствии национальных стандартов Российской Федерации ссылочному международному стандарту
|
Обозначение ссылочного международного стандарта |
Обозначение и наименование соответствующего национального стандарта Российской Федерации |
|
ИСО 9001:2000 |
ГОСТ Р ИСО 9001-2001 Системы менеджмента качества. Требования |
Ключевые слова: экономика качества, затраты, прибыль, затраты на выполнение процесса, удовлетворенность потребителя, анализ затрат/прибыли
Хотите оперативно узнавать о новых публикациях нормативных документов на портале? Подпишитесь на рассылку новостей!
